• Предмет: Математика
  • Автор: dinabikteevaadina
  • Вопрос задан 10 лет назад

Помогите
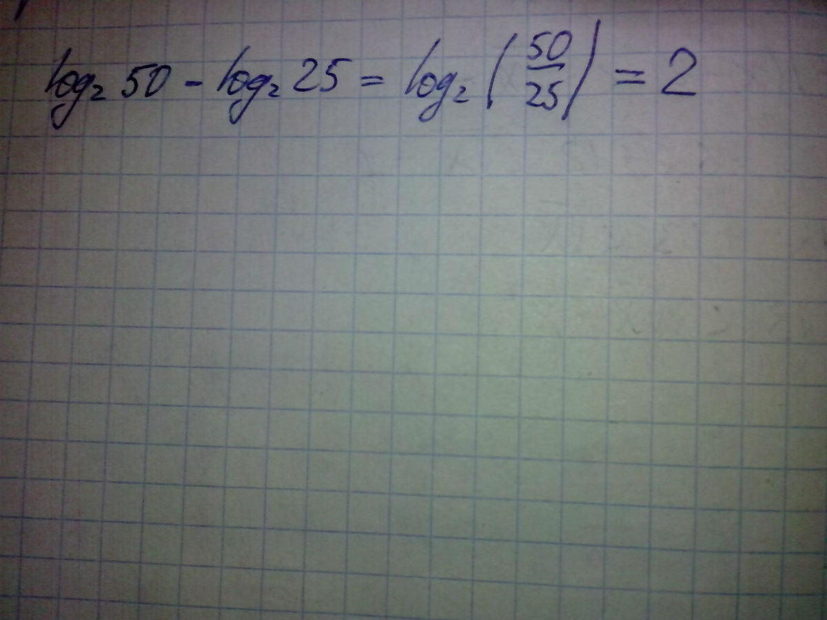
log2 50-log2 25
нужно вычислить

Ответы

Ответ дал: Glebtor
0
Ответ во вложении. Удачи!
Приложения:
Ответ дал: Аноним
0
log_250-log_225=log_2( frac{50}{25} )=log_22=1
Приложения:
Вас заинтересует