• Предмет: Алгебра
  • Автор: nagetson
  • Вопрос задан 10 лет назад

Помогите решить:
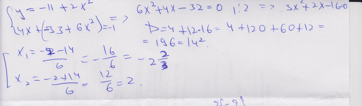
4x+3y=-1
2x²-y=11

Внимание!Это одно уравнение!

Ответы

Ответ дал: philadelphiaex
0
Ответ ниже во вложении.
Приложения:
Ответ дал: philadelphiaex
0
Это оно и есть. Вложение открой.
Ответ дал: philadelphiaex
0
Эм, щас дорешаю)
Ответ дал: philadelphiaex
0
А че так?
Вас заинтересует