• Предмет: Физика
  • Автор: riz97
  • Вопрос задан 10 лет назад

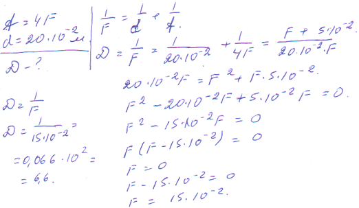
Предмет поместили на главной оптической оси собирающей линзы на расстоянии 20 сантиметров от нее и получили его действительное изображение на расстоянии 4 f где f фокусное расстояние линзы. найдите оптическую силу линзы

Ответы

Ответ дал: Borisqaaa
0
решение во вложении
..........
Приложения:
Ответ дал: Borisqaaa
0
другого ответа не получается, даже если предположить что 4F это расстояние от предмета до его изображения, получится квадратное уравнение с отрицательным дискриминантом. Наверное надо найти все таки фокусное расстояние
Ответ дал: Сергей0568
0
Мне кажется у нас все верно.
Ответ дал: Сергей0568
0
У него или что-то с ответом или не то надо искать
Ответ дал: Сергей0568
0
Мы же искали то что он написал в задаче
Ответ дал: Сергей0568
0
У меня так и я верю что верно.
Приложения:
Ответ дал: Сергей0568
0
Да кстати, там 6 в периоде. Если округлить то будет 6,667. Это уж если все по правилах
Вас заинтересует