• Предмет: Физика
  • Автор: Iulia3
  • Вопрос задан 10 лет назад

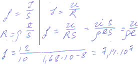
определить плотность тока в медной проволоке длиной 10 м если разность потенциалов 12

Ответы

Ответ дал: Сергей0568
0
Как-то так. Надеюсь понятно.
Приложения:
Вас заинтересует