• Предмет: Физика
  • Автор: kseniaostapenko
  • Вопрос задан 10 лет назад

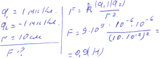
найдите силу взаимодействия между положительным и отрицательным точечными зарядами в 1 мкКл,находящимися на расстоянии 10 см

Ответы

Ответ дал: Сергей0568
0
Как-то так. Попробуй решить и ты хотя бы такие легкие.
Приложения:
Ответ дал: makaradaya
0
подставляй и считай
только микро- и санти-  переведи
Приложения:
Вас заинтересует