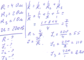
три лампочки опорами 4 Ом, 2 Ом і Ом ввімкнені в коло з напругою 220 В паралельно. Визначити загальний опір кола та силу струму в клжній лампочці?
Ответы
Ответ дал:
0
опір в омах
сила струму в амперах
Да R=4/7=0,57
сила струму в амперах
Да R=4/7=0,57
Приложения:
Ответ дал:
0
дякую велике!)
Ответ дал:
0
а чого ж не нажала спасибо?
Вас заинтересует
3 года назад
3 года назад
8 лет назад
11 лет назад
11 лет назад
11 лет назад