• Предмет: Алгебра
  • Автор: НикУжеСуществуетУже
  • Вопрос задан 10 лет назад

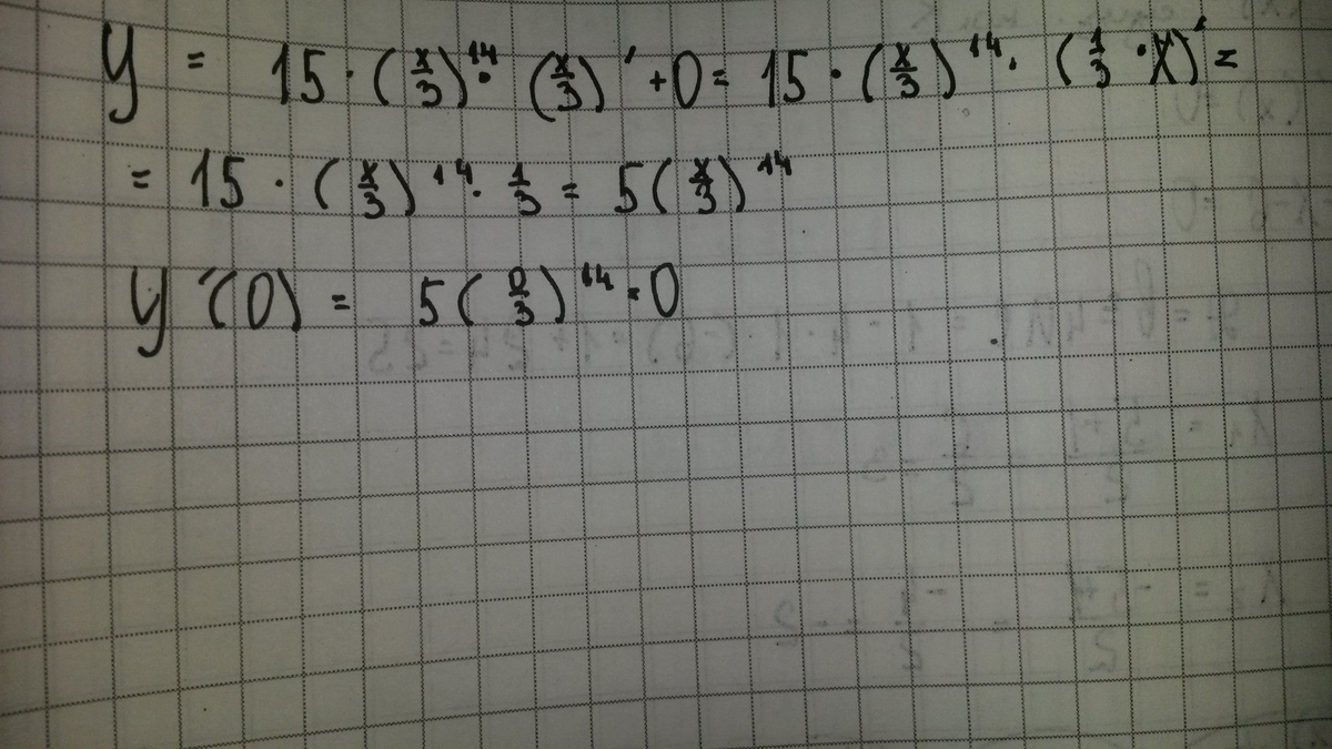
Найти производную функции y=(x/3)^15+5 в точке x=0...Выручите,в понедельник экзамен

Ответы

Ответ дал: Аноним
0
у=(x/3)^15+5 
у'=15·(x/3)^14·(x/3)'+0=5·(x/3)^15 
y'(0)=5·(0/3)^15=0
Ответ дал: DayLong
0
............................
Приложения:
Вас заинтересует