• Предмет: Физика
  • Автор: LouisDonovan
  • Вопрос задан 10 лет назад

Помогите подготовиться к экзамену! Пожалуйста!
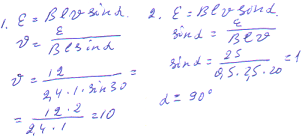
1. С какой скоростью должен двигаться проводник длиной
1м в однородном магнитном поле с индукцией 2,4Тл  под углом 300 к силовым линиям,
чтобы ЭДС, индукции на концах проводника была равной 12В


2.

Под каким углом к силовым линиям 
магнитного поля с индукцией 0,5Тл должен двигаться проводник длиной
2,5м, чтобы при скорости 20м/с на его концах возбуждалась ЭДС индукции в 25В.





Ответы

Ответ дал: Сергей0568
0
Как-то так. Надеюсь помог.
Приложения:
Ответ дал: Сергей0568
0
давай
Ответ дал: LouisDonovan
0
будут вопросы - напишу, ок?
Ответ дал: Сергей0568
0
благодарю
Вас заинтересует