Ответы
Ответ дал:
0
Решение смотрите во вкладке.
Приложения:

Ответ дал:
0
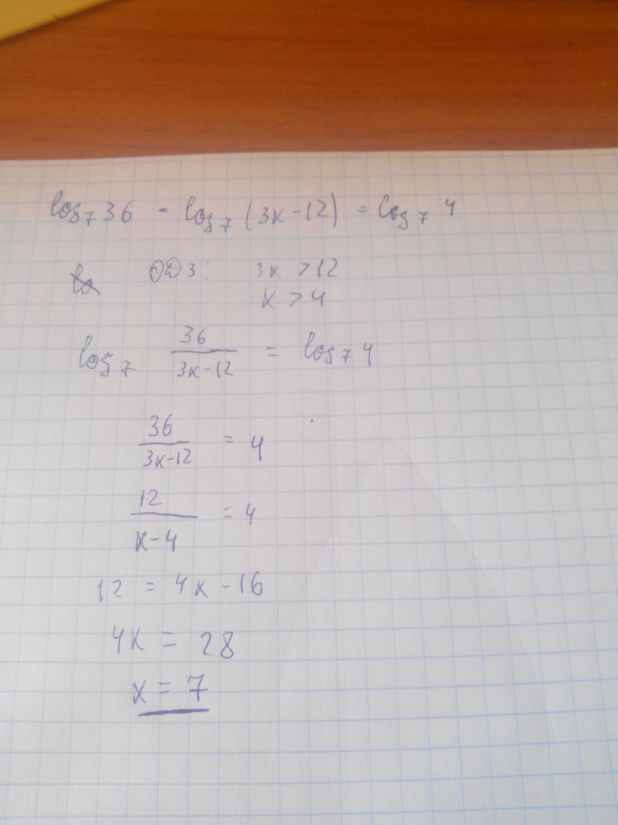
ответ 7 открываешь по формуле деление или минус а потом логорифмы оставляешь и сокрашаешь потом решаешь уравнение
Приложения:

Вас заинтересует
2 года назад
7 лет назад
7 лет назад
10 лет назад
10 лет назад
10 лет назад