• Предмет: Физика
  • Автор: LouisDonovan
  • Вопрос задан 10 лет назад

1.     
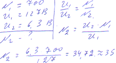
Первичная обмотка трансформатора имеет 700 витков.
Сколько витков имеет вторичная обмотка, если напряжение понижается со 127 Вольт
до 6,3Вольт?





Ответы

Ответ дал: fatt52
0


U1/U2=n1/n2

n2=n1*U2/U1=700*6.3/127=34.7


Ответ дал: evgorlova
0
в Караганде, 4 балла, гудело и тряхонуло(
Ответ дал: IUV
0
дома целы, ничего не рухнуло ?
Ответ дал: IUV
0
4 бала
Ответ дал: IUV
0
сочувствую за пережитый страх
Ответ дал: evgorlova
0
нет, слава богу. Да неожиданно, у нас же степь. Спасибо))
Ответ дал: Сергей0568
0
Как-то так. Надеюсь верно.
Приложения:
Вас заинтересует