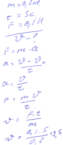
16. На покоящееся тело массой 0,2 кг действует в течение 5 с. сила 0,1Н. Какую скорость приобретет тело за указанное время?
Ответы
Ответ дал:
0
Забыл написать
υ₀=0 тело ведь покоилось
υ₀=0 тело ведь покоилось
Приложения:
Вас заинтересует
3 года назад
3 года назад
8 лет назад
8 лет назад
11 лет назад
11 лет назад