• Предмет: Алгебра
  • Автор: lustdevil
  • Вопрос задан 10 лет назад

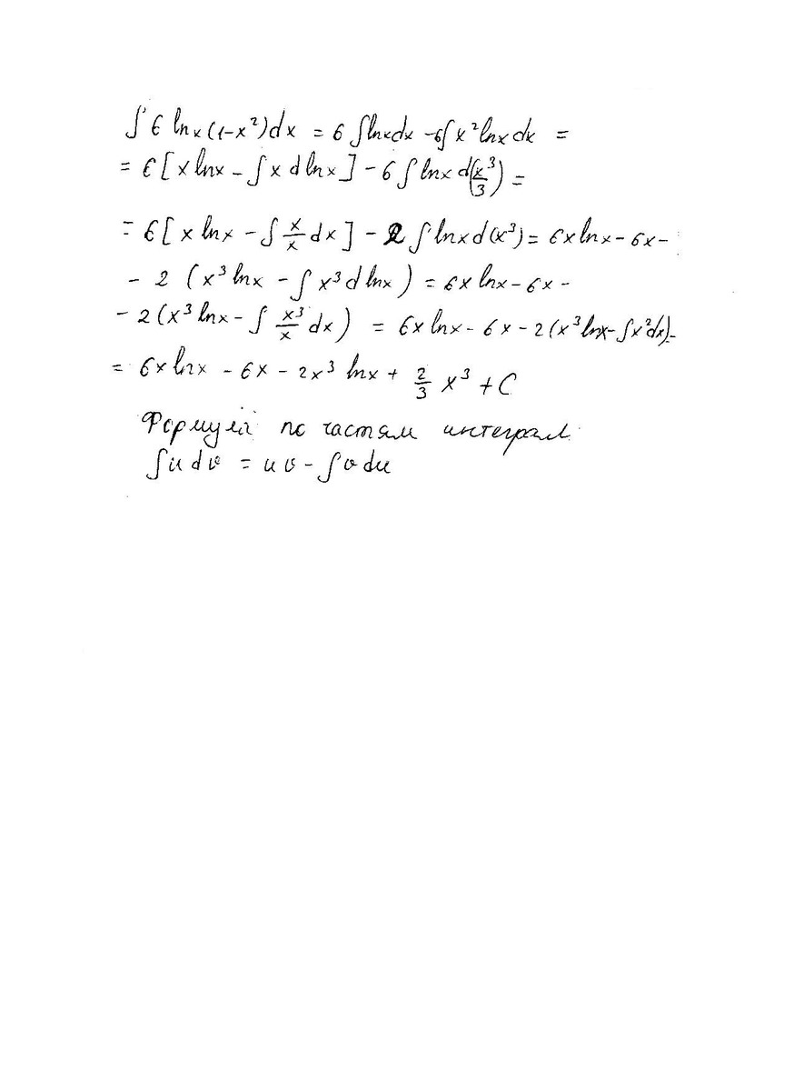
найти неопределенный интеграл

∫6lnx(1-x^2)dx

Ответы

Ответ дал: bearcab
0
Напишу поподробнее. Во вложении должно быть понятно. Интегрирование по частям. А вообще, вопрос нешкольный.
Приложения:
Вас заинтересует