• Предмет: Алгебра
  • Автор: shipovskayaalen
  • Вопрос задан 10 лет назад

решить логарифмические уравнения:
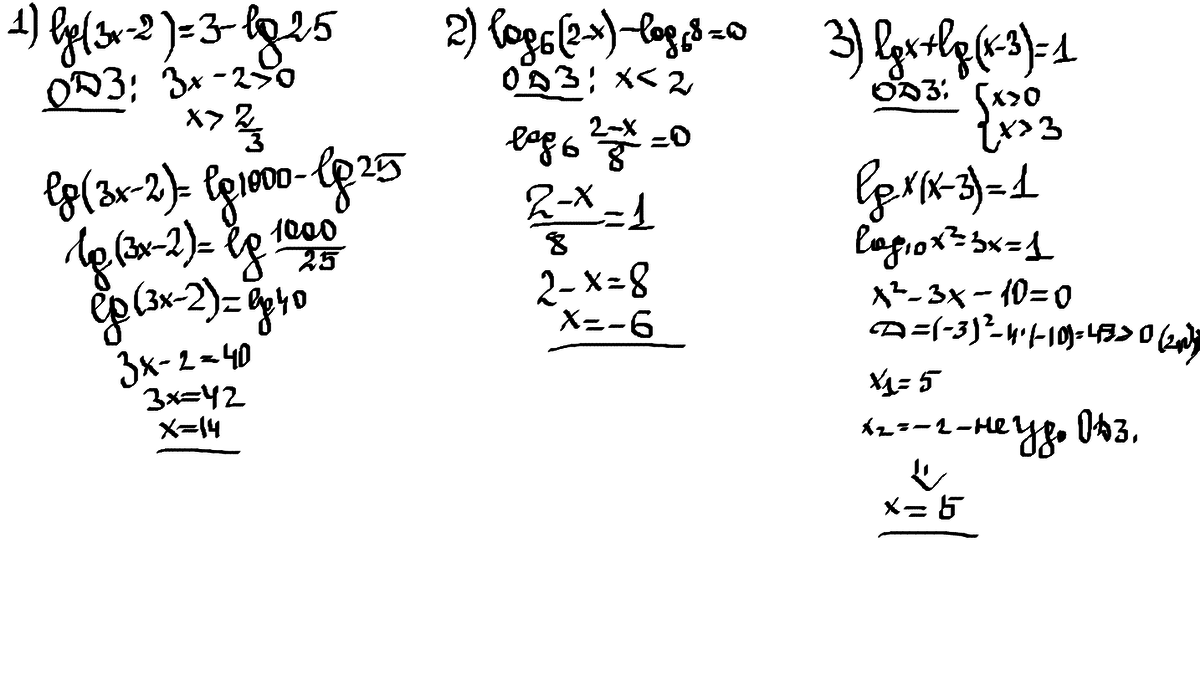
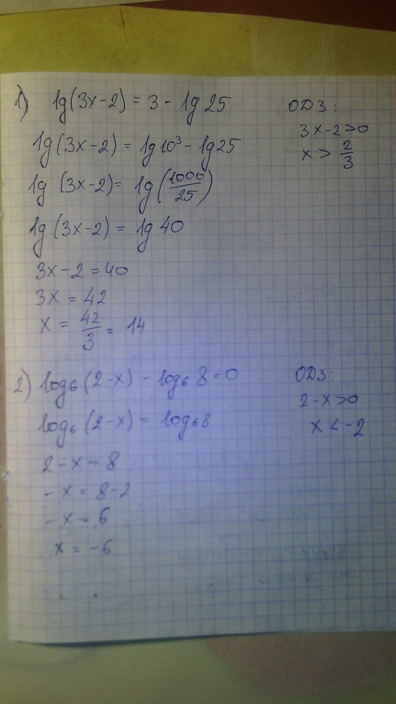
1. lg(3x-2)=3-lg25
2. log(по основанию 6)(2
-x)-log(по основанию6)8=0
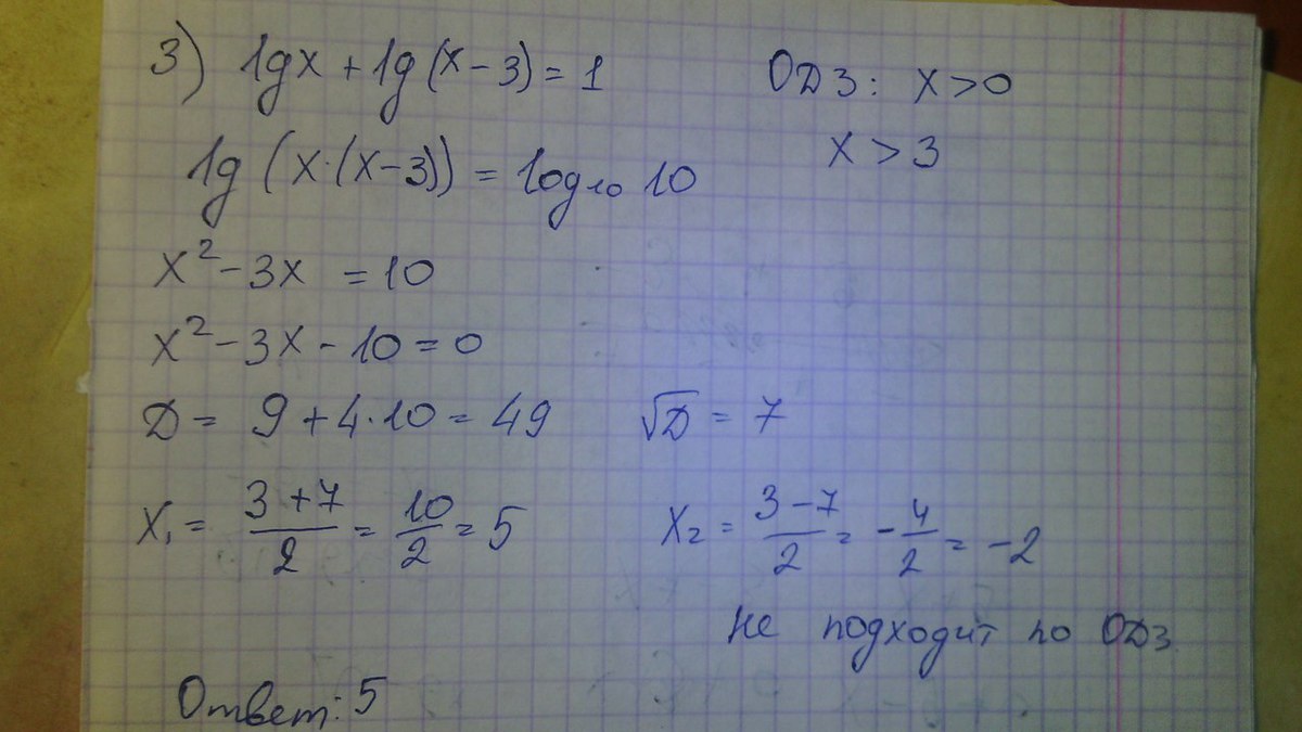
3. lgx+lg(x-3)=1
4. lg(3x-2)=3-lg25

Ответы

Ответ дал: Lass7
0
см. рис..............................
Приложения:
Ответ дал: Аноним
0
решение во вложении:)
Приложения:
Вас заинтересует