• Предмет: Математика
  • Автор: Малёк2012
  • Вопрос задан 10 лет назад

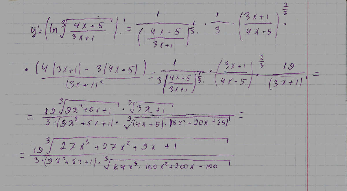
y=ln∛4x-5/3x+1
найти производную!

Ответы

Ответ дал: Borisqaaa
0
ну по любому где нибудь накосячил я 
Приложения:
Ответ дал: Малёк2012
0
это неверно в самом 1 действии твоём! за старание лайк
Вас заинтересует