• Предмет: Алгебра
  • Автор: H2Ocl
  • Вопрос задан 10 лет назад

Добрые Ребята помогите пожалуйста) очень нужно!)))  на завтра(( я в этом дуб дубом)

Приложения:

Ответы

Ответ дал: alisavodoley
0
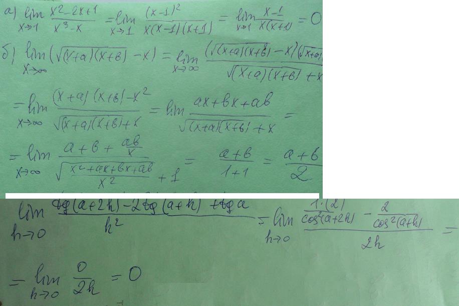
первый вот хотя бы,только везде там лим дописать надо перед вычислениями)

Приложения:
Ответ дал: infor5
0
в третьем задании использовал правило Лопиталя (находим производную в числителе и производную в знаменателе)
Приложения:
Вас заинтересует