• Предмет: Алгебра
  • Автор: raihan9702
  • Вопрос задан 10 лет назад

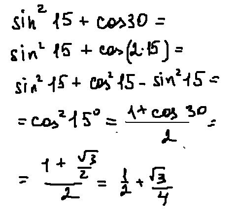
Решение: sin^2*15+cos30

Ответы

Ответ дал: esmilya
0
Если понравилось решение - нажимай "спасибо" и "лучший" (рядом с кнопкой "спасибо") :)
Приложения:
Ответ дал: raihan9702
0
1/8 должен выйти
Ответ дал: esmilya
0
я попробовала через понижение степени - результат тот же...
Вас заинтересует