• Предмет: Физика
  • Автор: Latimel
  • Вопрос задан 10 лет назад

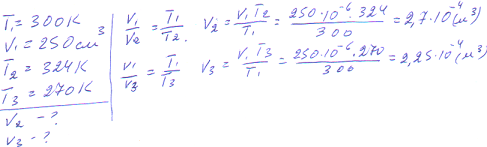
Газ при 300 К занимает объем 250 см^3.Какой объём займет этот же газ, если температура его повысится до 324К? Понизится др 270К? Масса газа неизменна.

Ответы

Ответ дал: Сергей0568
0
Посмотри, надеюсь верно.
Приложения:
Вас заинтересует