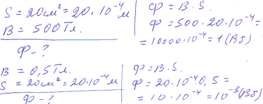
1. Определите магнитный поток, проходящий через площадку в 20 см», если магнитная индукция равна 500Тл.
2. Магнитная индукция однородного магнитного поля равна 0,5Тл, Какой магнитный поток пройдет через площадку в 20 см^2, расположенные перпендикулярно к силовым линиям?
Ответы
Ответ дал:
0
Посмотри может так. Надеюсь так.
Приложения:

Вас заинтересует
2 года назад
2 года назад
7 лет назад
10 лет назад
10 лет назад
10 лет назад
10 лет назад