Ответы
Ответ дал:
0
Решение:
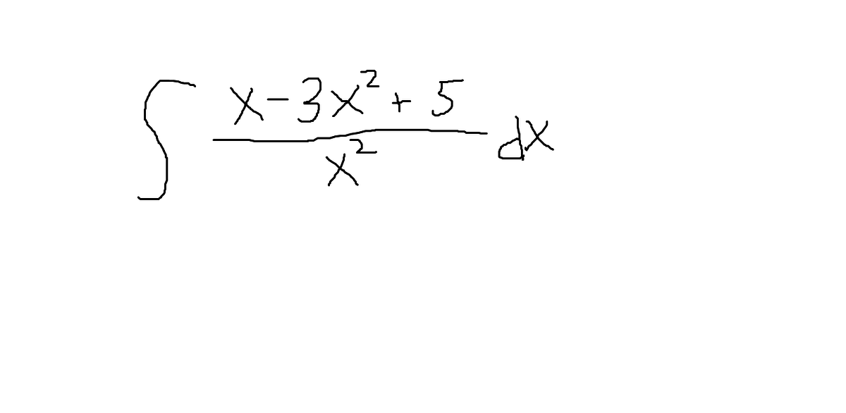
Представим подынтегральную функцию как сумма (или разность) дробей, предварительно применив свойство линейности интеграла:

P.S. перед тем, как мы получили три интеграла, каждую дробь мы поделили на x, x² и 1 соответственно.
Представим подынтегральную функцию как сумма (или разность) дробей, предварительно применив свойство линейности интеграла:
P.S. перед тем, как мы получили три интеграла, каждую дробь мы поделили на x, x² и 1 соответственно.
Ответ дал:
0
это к моему примеру решение ?
Ответ дал:
0
С начала
Ответ дал:
0
Да, это к вашему
Ответ дал:
0
Вас заинтересует
3 года назад
3 года назад
8 лет назад
11 лет назад
11 лет назад
11 лет назад