• Предмет: Математика
  • Автор: илья379
  • Вопрос задан 10 лет назад

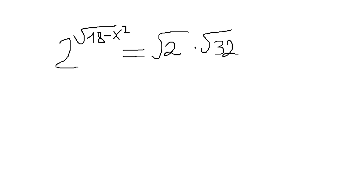
Помогите решить уравнение

Приложения:

Ответы

Ответ дал: mailforazi
0
2^{ sqrt{18-x^2} }= sqrt{2}  sqrt{32}  \ 2^{ sqrt{18-x^2} }=2^{ frac{1}{2} }2^{ frac{5}{2} } \ 2^{ sqrt{18-x^2} }=2^{ frac{6}{2} }=2^3 \  \  sqrt{18-x^2} =3 \ 18-x^2=9 \ x^2=9 \ x=pm3
Вас заинтересует
11 лет назад