Ответы
Ответ дал:
0
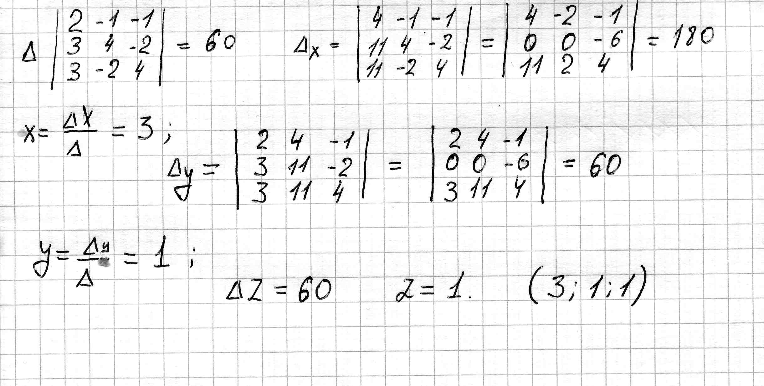
Уж не знаю в каком институте решают сейчас, мы такие задачи решали
в 7-8 классе, по новой системе это 8-9 класс.
Приложения:

Вас заинтересует
8 лет назад
10 лет назад
10 лет назад
10 лет назад