• Предмет: Математика
  • Автор: rango011
  • Вопрос задан 10 лет назад

Помогите пожалуйста, проблема с двумя задачами:
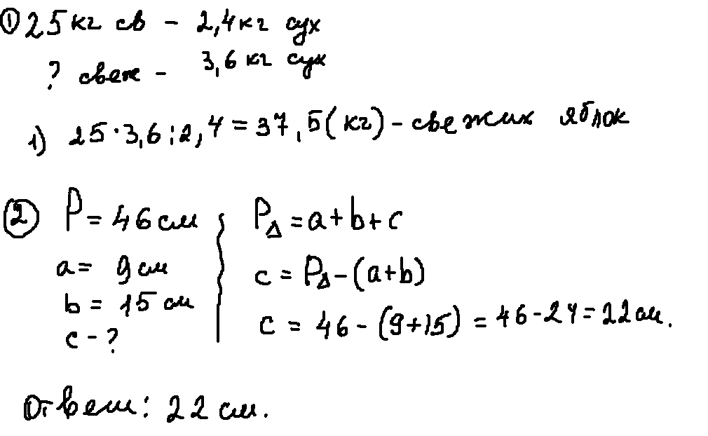
1) Из 25 кг свежих яблок получается 2,4 кг сушеных. Сколько надо взять свежих яблок чтобы получилось 3,6 кг сушеных?
2)Периметр треугольника равен 46 см. Длина одной стороны 9 см, длина другой сторноны 15 см. Найдите длину третьей стороны.

Ответы

Ответ дал: esmilya
0
Решениееееееееееееееееееееееееееееееееееееее
Приложения:
Вас заинтересует