• Предмет: Математика
  • Автор: Lessiann
  • Вопрос задан 10 лет назад

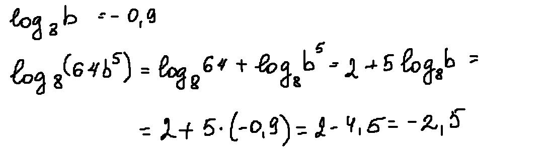
найти значение выражения  log8(64b^5)если  log8b= -0.9


Ответы

Ответ дал: esmilya
0
Если понравилось решение - нажимай "спасибо" и "лучший" (рядом с кнопкой "спасибо") :)
Приложения:
Вас заинтересует