• Предмет: Алгебра
  • Автор: melanovakarina
  • Вопрос задан 10 лет назад

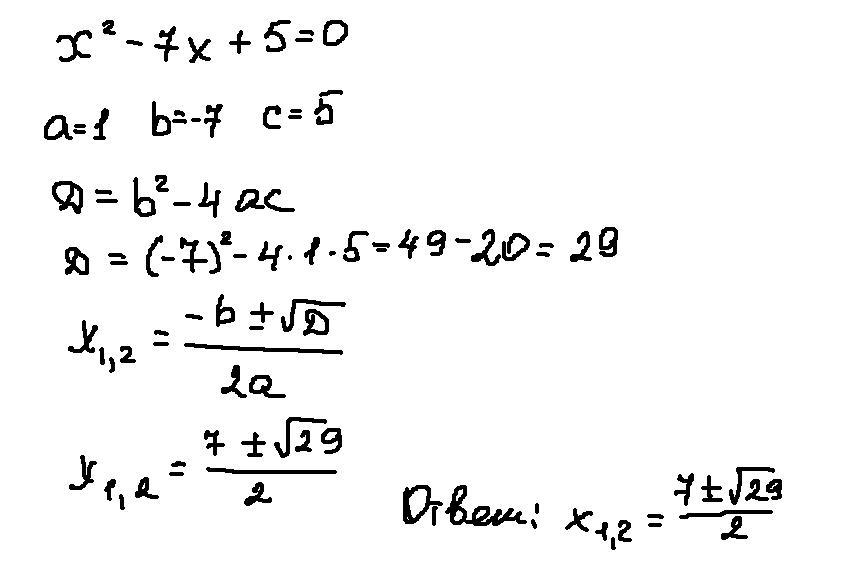
X в квадрате -7x+5=0?

Ответы

Ответ дал: esmilya
0
Если понравилось решение - нажимай "спасибо" и "лучший" (рядом с кнопкой "спасибо") :)
Приложения:
Вас заинтересует