• Предмет: Алгебра
  • Автор: Ксю13097
  • Вопрос задан 10 лет назад

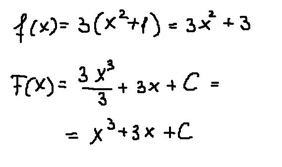
Найдите первообразные функции f(x)= 3(x^2+1)

Ответы

Ответ дал: esmilya
0
Если понравилось решение - нажимай "спасибо" и "лучший" (рядом с кнопкой "спасибо") :)
Приложения:
Ответ дал: mmb1
0
f(x)=3(x²+1)
F(x)=3*x³/3+3x+C=x³+3x+C
Приложения:
Вас заинтересует