• Предмет: Физика
  • Автор: golser071094
  • Вопрос задан 10 лет назад

Найти работу
тока на участке цепи сопротивлением

R = 12 Ом, не содержащим источника ЭДС, если ток в течение времени 5 с. равномерно увеличивался от значения I1
= 2 А до I2 = 10 А.

Ответы

Ответ дал: Pozitiv4ik
0
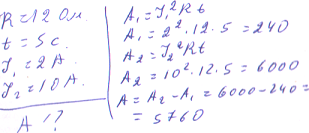
Берем определенный интеграл функции 60I^2 по dI 
Приложения:
Ответ дал: golser071094
0
я так же делал, сдал, препод сказал что неправильно(
Ответ дал: IUV
0
согласен с ответом 2480 Дж
Ответ дал: Сергей0568
0
Может я и не прав, но думаю это будет так.
Задача 9 кл.
Приложения:
Ответ дал: Сергей0568
0
меня так учили, а где решение в котором 2480?
Вас заинтересует