Нигде нормального доказательства не могу найти, я не понимаю, в каком месте тут применим 2-й замечательный предел, в частности, почему предел равен 1? Снизу же dx, который стремится к 0, значит предел равен бесконечности. Объясните пожалуйста, если не трудно, исходя из чего равенство верно? Заранее спасибо.
Приложения:
Ответы
Ответ дал:
0
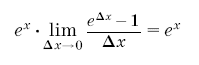
Возьмем
Воспользуемся правилом Лопиталя
то есть
тогда

Воспользуемся правилом Лопиталя
Вас заинтересует
3 года назад
3 года назад
8 лет назад
8 лет назад
11 лет назад
11 лет назад
11 лет назад