• Предмет: Математика
  • Автор: VampirKING
  • Вопрос задан 10 лет назад

решите плиз срочно пипец

Приложения:

Ответы

Ответ дал: Опыт
0
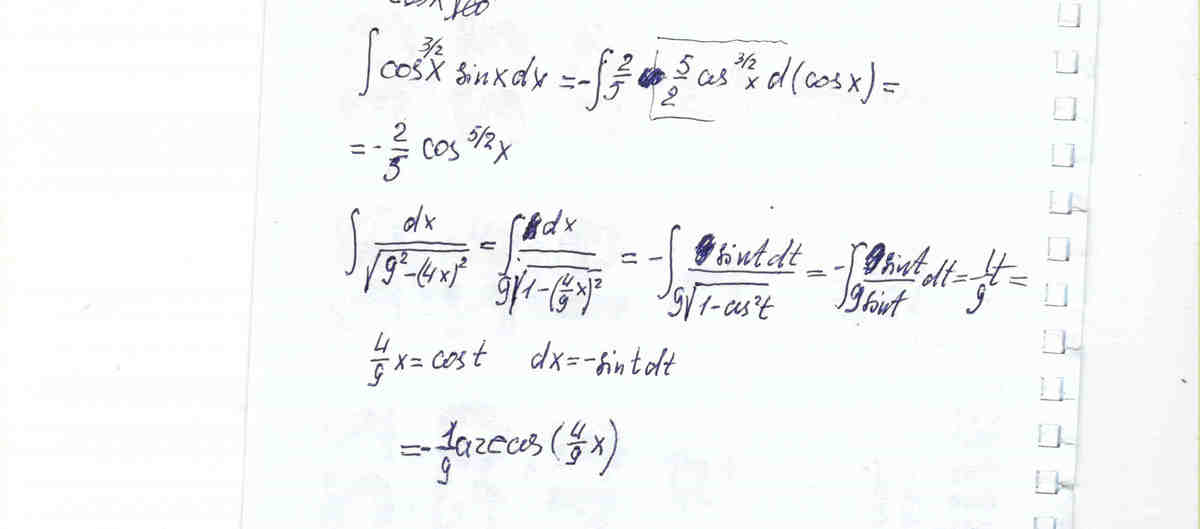
решение в файле. Если ответ понравился жмем Лучший
Приложения:
Вас заинтересует