• Предмет: Алгебра
  • Автор: evelinapres
  • Вопрос задан 10 лет назад

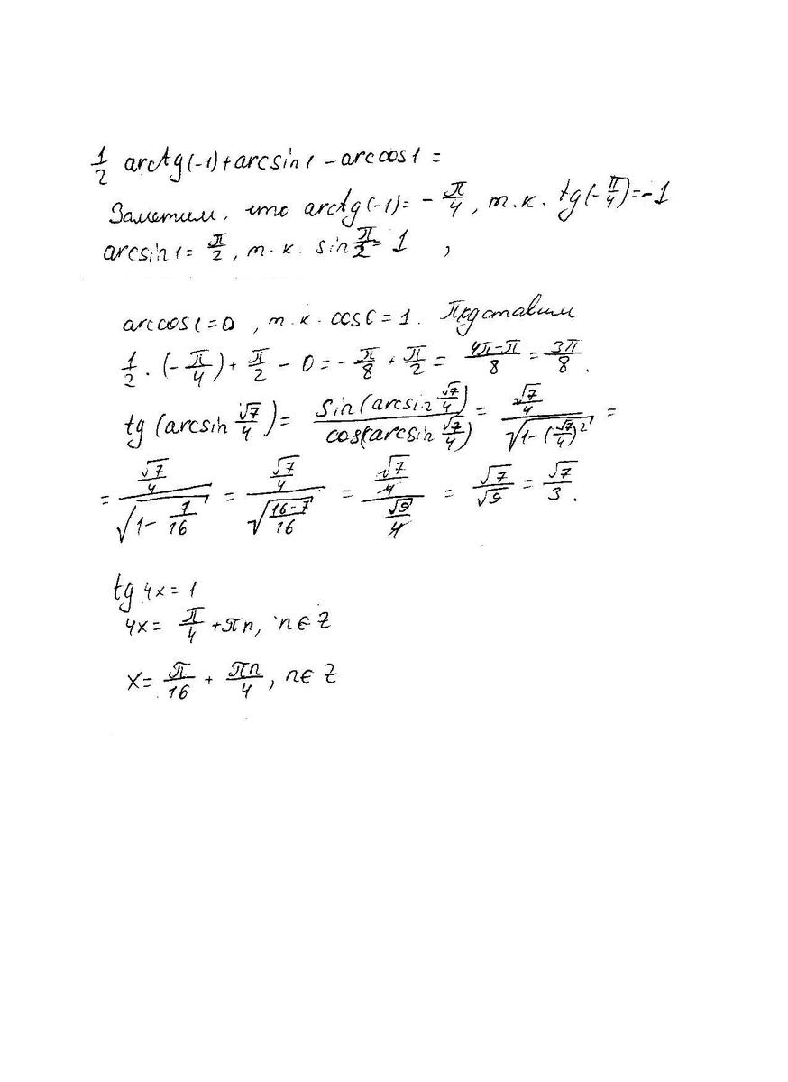
Помогите решить, пожалуйста. Решается как-то в  pi .
 frac{1}{2} arctg (-1) + arcsin 1 -arccos 1
tg (arcsin  frac{ sqrt{7} }{4} )
tg 4x =1

Ответы

Ответ дал: bearcab
0
Смотри во вложениях. Должно быть понятно.
Приложения:
Вас заинтересует