• Предмет: Математика
  • Автор: alexm313
  • Вопрос задан 10 лет назад

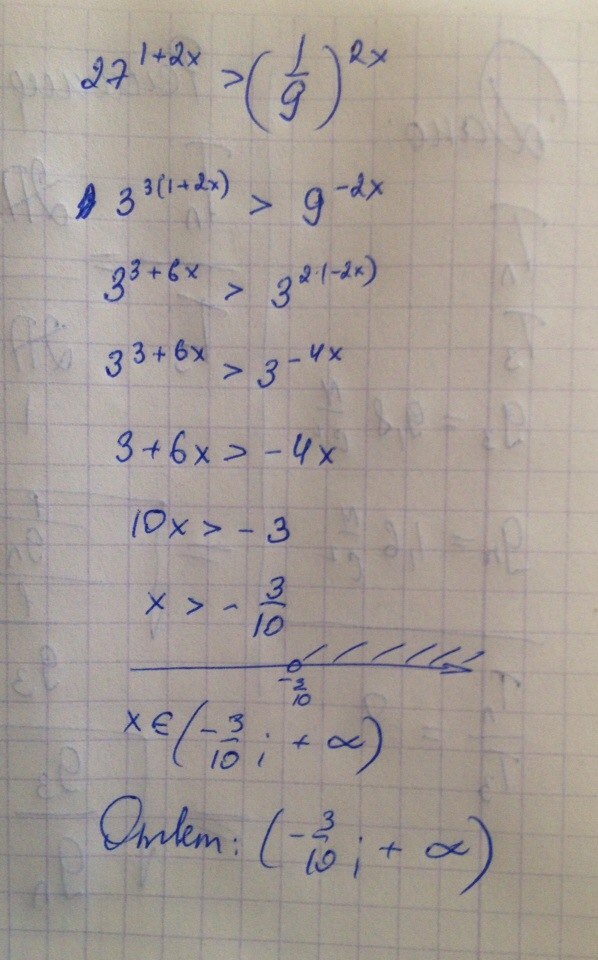
1)    27 в степени 1+2х больше чем (1/9) в степени 2+х
 2)    log по основанию 3 разности чисел (12-5х)=2
3)   3 в степени (х в квадрате - 4) меньше или равно 243

Ответы

Ответ дал: Tofer
0
вот мое решение, в правильности не уверен.
Приложения:
Ответ дал: alexm313
0
большое спасибо но в первом.. последнее "в степени 2+х
Ответ дал: Tofer
0
о боже, невнимательность, могу перерешать снова
Ответ дал: alexm313
0
так неудобно), но в математике ну ни чего не понимаю, я больше по части литературы)
Ответ дал: alexm313
0
а сможешь это решить ? http://znanija.com/task/6834334
Вас заинтересует