• Предмет: Алгебра
  • Автор: igarkrut
  • Вопрос задан 10 лет назад

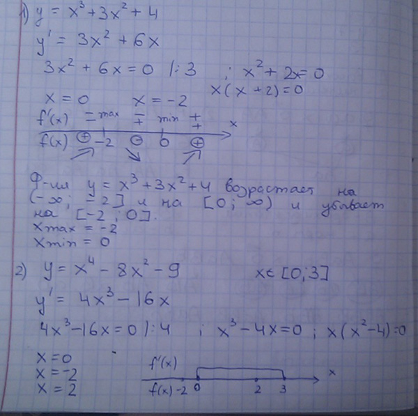
1)Исследовать функцию y=x^3+3x^2+4 на екстремум и найти промижутки возрастания и убывания.

2)Найти наибольшое и наименьшое значения функции f(x)=x^4-8x^2-9 на отрезке [0;3]

Ответы

Ответ дал: HCN
0
Держи решение :) Если что не ясно - спрашивай.
Приложения:
Вас заинтересует