• Предмет: Математика
  • Автор: Elfik17good
  • Вопрос задан 10 лет назад

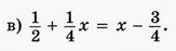
Объясните пожалуйста в подробностях,как решать такие уравнения!Пожалуйста,опишите каждое действие

Приложения:

Ответа на этот вопрос пока нет. Попробуйте найти его через форму поиска.

Вас заинтересует