• Предмет: Математика
  • Автор: dibil2002
  • Вопрос задан 10 лет назад

помогите плиз пожалуйста

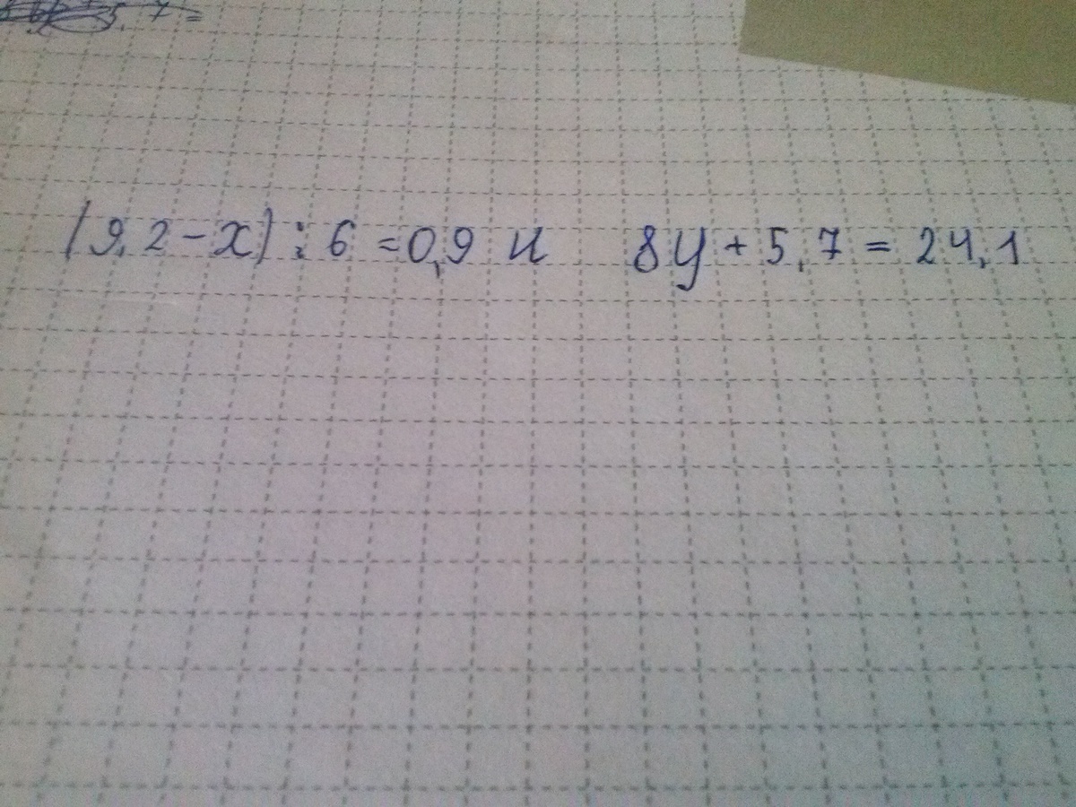
Приложения:

Ответы

Ответ дал: julyap
0
1)  frac{9.2-x}{6} =0.9/*6 \ 9.2-x=5.4 \ x=9.2-5.4 \ x=3.8 \  \ 2)8y+5.7=24.1 \ 8y=24.1-5.7 \ 8y=18.4 \ y=18.4:8 \ y=2.3
Ответ дал: dibil2002
0
я твой должник спасибо
Ответ дал: dibil2002
0
чем помочь
Ответ дал: Аноним
0
1)(9,2-х):6=0,9
9,2-х=0,9·6
9,2-х=5,4
х=9,2-5,4
х=3,8
Ответ:3,8
2)8у+5,7=24,1
8у=24,1-5,7
8у=18,4
у=18,4:8
у=2,3
Ответ:2,3
Вас заинтересует