• Предмет: Алгебра
  • Автор: Zulika1997
  • Вопрос задан 10 лет назад

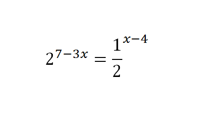
помогите решить, пожалуйста!

Приложения:

Ответы

Ответ дал: julyap
0
2 ^{7-3x} = frac{1}{2}^{x-4}  \ 2 ^{7-3x} =2 ^{4-x}   \ 7-3x=4-x \ -3x+x=4-7 \ -2x=-3 \ x=1.5
Вас заинтересует