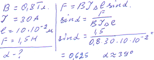
В однородном магнитном поле с индукцией 0,8 Тл на проводник с током в 30 А, длина активной части которого 10 см, действует сила 1,5 Н. Под каким углом к вектору индукции расположен проводник?
Ответы
Ответ дал:
0
Надеюсь верно, посмотри, может поможет.
Приложения:

Вас заинтересует
2 года назад
2 года назад
7 лет назад
10 лет назад
10 лет назад
10 лет назад