Определить электроемкость батареи паралельно соединенных конденсаторов , если С1-С2= 2нф, С3=50 нф
Ответы
Ответ дал:
0
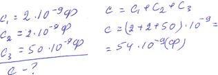
Дано:
С1=2 нФ
С2=2 нГн
С3=500 пФ
СИ:
С1=2 10-9 Ф
С2=2 10-9 Ф
С3=0,5 10-9 Ф
С=?
Указанную цепь разбиваем на два участка: первый содержит конденсатор С1 и С2, второй конденсатор С3.
Емкость первого участка, на котором конденсаторы соединены параллельно: С`=С1+С2=2*+2* =4* Ф
Емкость второго участка С``=С3=0,5* Ф
Общая емкость при последовательном включении этих участков определяется
соотношением: Ф ФФ = 444 пФ
С1=2 нФ
С2=2 нГн
С3=500 пФ
СИ:
С1=2 10-9 Ф
С2=2 10-9 Ф
С3=0,5 10-9 Ф
С=?
Указанную цепь разбиваем на два участка: первый содержит конденсатор С1 и С2, второй конденсатор С3.
Емкость первого участка, на котором конденсаторы соединены параллельно: С`=С1+С2=2*+2* =4* Ф
Емкость второго участка С``=С3=0,5* Ф
Общая емкость при последовательном включении этих участков определяется
соотношением: Ф ФФ = 444 пФ
Ответ дал:
0
Посмотри, может поможет.
Приложения:
Вас заинтересует
3 года назад
8 лет назад
8 лет назад
10 лет назад
10 лет назад
11 лет назад