Ответы
Ответ дал:
0
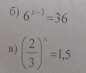
1)6^(x-3)=36
6^(x-3)=6^(2)
x-3=2
x=2+3
x=5
2)(23)^(x)=1,5
(23)^(x)=32
(23)^(x)=(23)^(-1)
x=-1
6^(x-3)=6^(2)
x-3=2
x=2+3
x=5
2)(23)^(x)=1,5
(23)^(x)=32
(23)^(x)=(23)^(-1)
x=-1
Вас заинтересует
3 года назад
3 года назад
8 лет назад
8 лет назад
10 лет назад
10 лет назад
11 лет назад