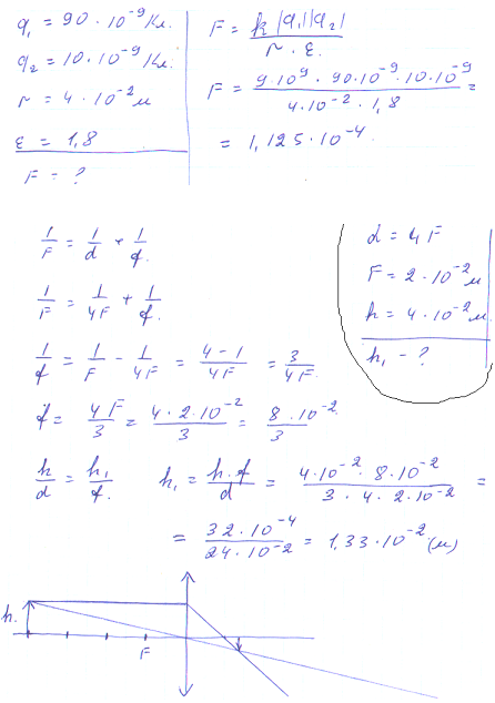
1.Заряды 90 и 10нКл расположены на расстоянии 4см
друг от друга. Определить силу их взаимосвязей в керосине.
2.Построить изображение предмета в собирающей линзе,
если расстояние от предмета до линзы равно 4 фокусным расстояниям, фокусное
расстояние 2 см, а линейные размеры предмета АВ = 4 см. 
                        
                            
                            
                    Ответы
                                            Ответ дал: 
                                                                                    
                                        
                                            
                                                
                                                
                                                
                                                    0
                                                
                                            
                                        
                                    
                                        Ответ проверь. Я нашел только эту ε. Не было где убедится что она правильная.Если у тебя иная просто подставь.
                                    
                                                Приложения:
                    
                            Вас заинтересует
                
                        2 года назад
                    
                
                        2 года назад
                    
                
                        8 лет назад
                    
                
                        10 лет назад
                    
                
                        10 лет назад