• Предмет: Физика
  • Автор: alenaaaaa78
  • Вопрос задан 10 лет назад

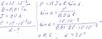
Прямой проводник длиной 10 см
находится в однородном магнитном поле
с индукцией 0,01 Тл. Сила тока в проводнике
20 А. Определите угол между направлением
вектора магнитной индукции и направлением
тока, если на проводник действует сила
10 мН

Решите плиз:с

Ответы

Ответ дал: Сергей0568
0
Посмотри может так. Может помог.
Приложения:
Вас заинтересует