• Предмет: Математика
  • Автор: kjazgr
  • Вопрос задан 10 лет назад

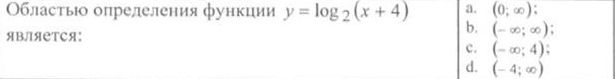
Объясните пожалуйста .

Приложения:

Ответа на этот вопрос пока нет. Попробуйте найти его через форму поиска.

Вас заинтересует