• Предмет: Алгебра
  • Автор: scaiss
  • Вопрос задан 10 лет назад

Прошу помогите, хочу понять как это решается

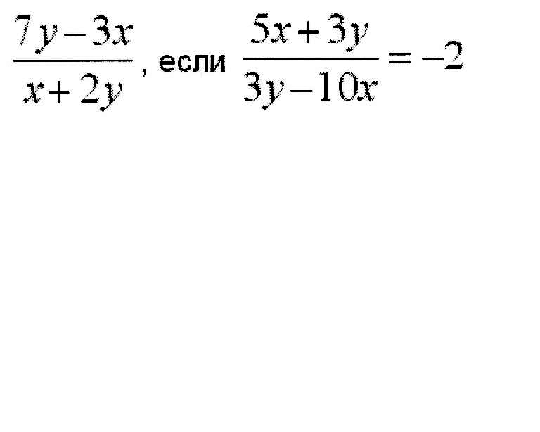
Приложения:

Ответы

Ответ дал: NNNLLL54
0
frac{5x+3y}{3y-10x}=-2; to ; 5x+3y=-6y+20x\\9y=15x\\y=frac{15x}{9}=frac{5x}{3}\\frac{7y-3x}{x+2y}=frac{frac{35x}{3}-3x}{x+frac{10x}{3}}=frac{35x-9x}{3x+10x}=frac{26x}{13x}=2
Вас заинтересует