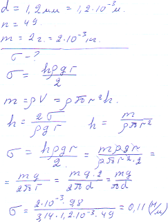
определите поверхностное натяжение воды если диаметр отверстия пипетки d=1,2 мм а масса n=49 капель воды m=2г
Ответы
Ответ дал:
0
Посмотри, может так. Я думаю да.
Приложения:

Ответ дал:
0
не там ответ 74мН/м
Ответ дал:
0
74 будет тогда, когда n=40, d=2мм, m=1,9г.
Ответ дал:
0
можешь проверить.
Вас заинтересует
2 года назад
2 года назад
7 лет назад
7 лет назад
10 лет назад
10 лет назад
10 лет назад