Помогите очень срочно!!!
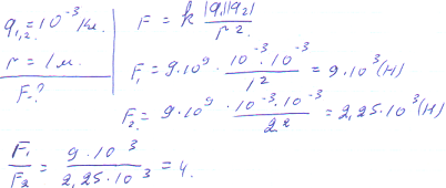
с какой силой взаимодействуют два электрических заряда по 10 мкл, находящиеся на расстоянии 1 м? как изменится сила взаимодействия этих двух зарядов при увеличении расстояния между ними до 2 м
Ответы
Ответ дал:
0
Ответ: Уменьшится в 4 раза.
Приложения:
Вас заинтересует
3 года назад
3 года назад
8 лет назад
8 лет назад
10 лет назад
10 лет назад
11 лет назад