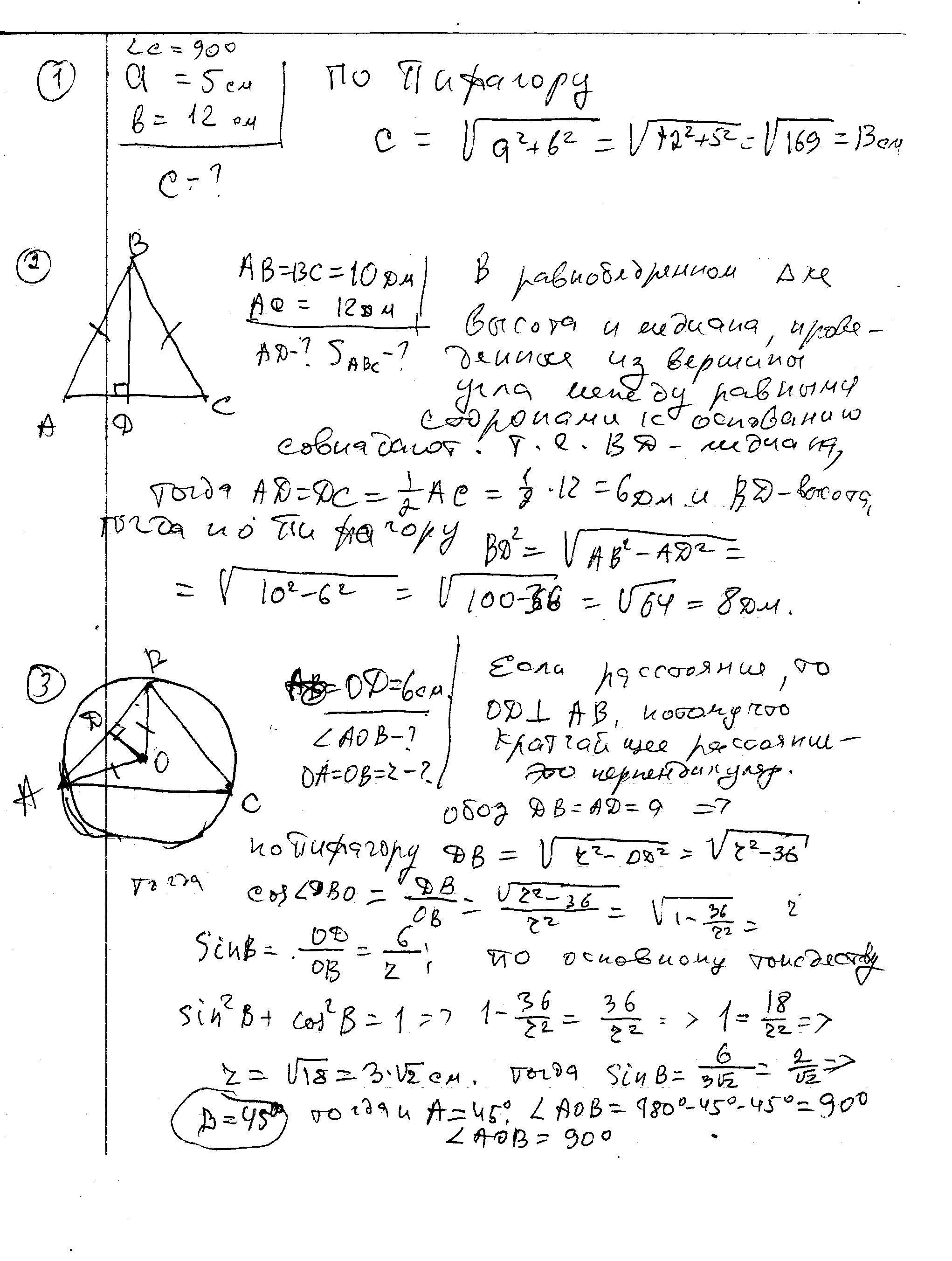
А1. В прямоугольном треугольнике найдите гипотенузу с, если его катеты равны: а=5
см, b=12 см.
А3. В равнобедренном треугольнике боковая сторона
равна 10 дм и основание равно 12 см. Найдите: а) высоту треугольника,
проведенную к основанию треугольника; б) площадь треугольника.
В1. Около остроугольного треугольника АВС описана
окружность с центром О. Расстояние от точки О до прямой АВ равно 6 см, .
Найдите: а)
угол АВО; б) радиус окружности.
B2 Укажите,
какие из перечисленных ниже утверждений верны:
1) Если
диагонали четырехугольника равны, то он прямоугольник.
2) Если
противоположные стороны четырехугольника попарно равны, то он параллелограмм.
3) Если
диагонали четырехугольника перпендикулярны, то он ромб.
4) Диагонали
прямоугольника являются биссектрисами его углов.
Ответы
Ответ дал:
0
решение в скане...............
Приложения:


Вас заинтересует
2 года назад
7 лет назад
10 лет назад
10 лет назад