• Предмет: Алгебра
  • Автор: Yfiiyfiyfjhfiy
  • Вопрос задан 10 лет назад

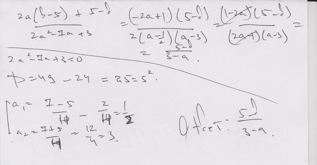
Задание.Сократите дробь

Приложения:

Ответы

Ответ дал: philadelphiaex
0
Посмотри ответ во вложении.
Приложения:
Вас заинтересует