• Предмет: Алгебра
  • Автор: Аноним
  • Вопрос задан 10 лет назад

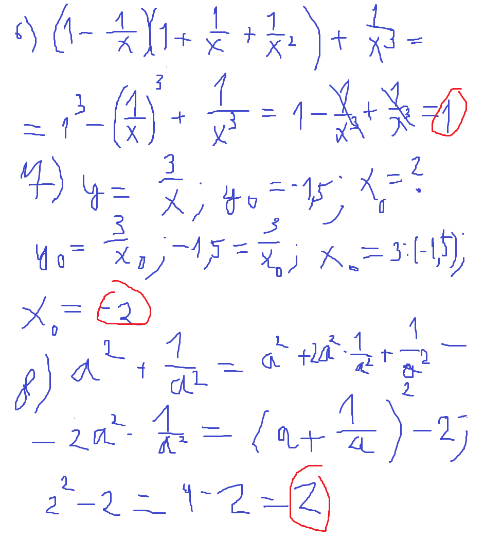
Люди добрые,помогите чем можете. Нужно решить эти 3 номера. Желательно не просто подсказать ответ,а решить. Я заранее благодарю вас!

Приложения:

Ответы

Ответ дал: volkodav575
0
Решение во вложении, надеюсь все понятно.
Приложения:
Ответ дал: Аноним
0
спасибо вам!
Вас заинтересует