Ответы
Ответ дал:
0
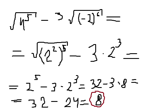
Решение во вложении, надеюсь разборчиво
Приложения:

Ответ дал:
0
И снова большое спасибо
Ответ дал:
0
))))))))))))))))))))))Ответ D
Приложения:

Вас заинтересует
2 года назад
7 лет назад
10 лет назад
10 лет назад