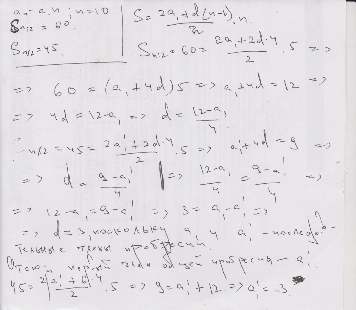
среди первых десяти членов арифметической прогрессиии сумма членов стоящих на нечётных местах равна 45, а сумма членов стоящих на чётных местах равна 60. найти первый член прогрессии помогите^^
Ответы
Ответ дал:
0
Данную прогрессию можно разделить на две арифметических прогрессии, где в одной члены четные, а в другой - нечетные.
Так, как d принадлежит общей прогрессии и это единое число, то количество членов в двоих получившихся прогрессиях равно 10/2=5.
Отсюда в каждой сотворенной прогрессии d удваивается.
Дальше во вложении.
Ответ: -3.
Так, как d принадлежит общей прогрессии и это единое число, то количество членов в двоих получившихся прогрессиях равно 10/2=5.
Отсюда в каждой сотворенной прогрессии d удваивается.
Дальше во вложении.
Ответ: -3.
Приложения:
Вас заинтересует
3 года назад
8 лет назад
8 лет назад
11 лет назад
11 лет назад
11 лет назад
11 лет назад