• Предмет: Математика
  • Автор: starkovalidiya
  • Вопрос задан 10 лет назад

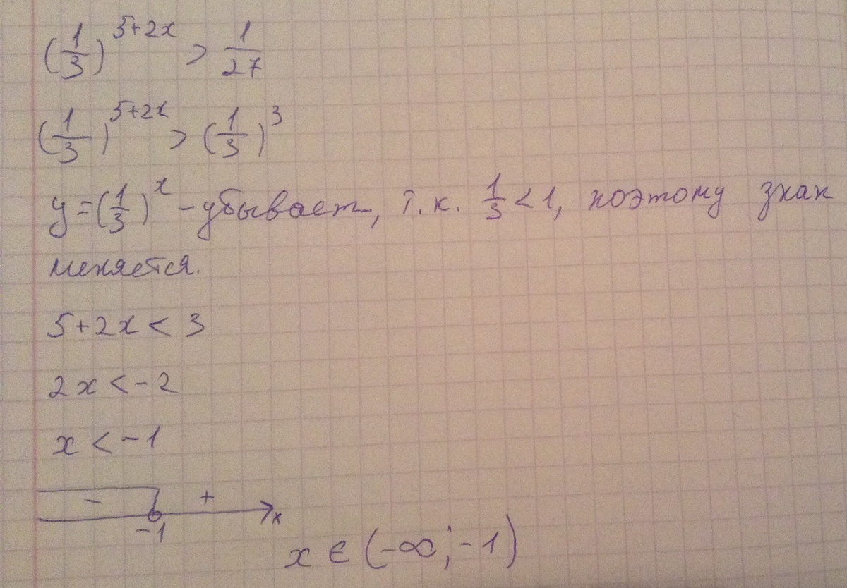
решить неравенство:
(1/3) в степени 5+2x>1/27

Ответы

Ответ дал: yasmin0
0
( frac{1}{3})^{5+2x}> frac{1}{27} \
3^{-(5+2x)}>3^{-3}\
-(5+2x)>-3\5+2x<3\2x<3-5\2x<-2\x<-1
От - бесконечности до -1
Ответ дал: dsd9998
0
Решение вашего задания во вложении
Приложения:
Вас заинтересует