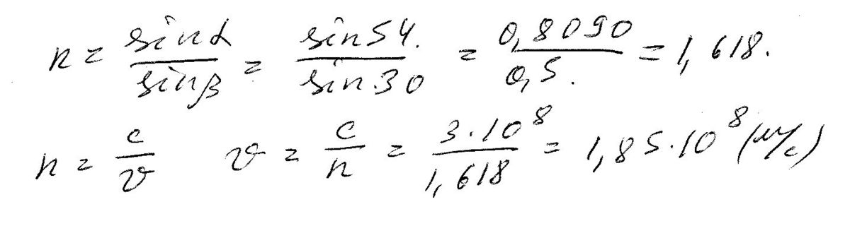
определите абсолютный показатель преломления и скорость распространение света в слюде если при угле падения светового пучка 54 угол преломления равен 30
Ответы
Ответ дал:
0
Как то так я думаю так.
Приложения:

Вас заинтересует
2 года назад
2 года назад
7 лет назад
10 лет назад
10 лет назад
10 лет назад
10 лет назад